2018年山东自考高等数学公式大全(2)
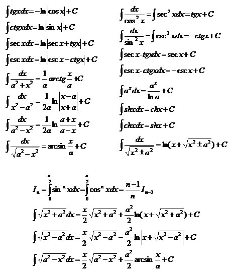
基本积分表:

本文标签:山东自考 公共课 2018年山东自考高等数学公式大全(2)
转载请注明:文章转载自(http://www.sdzk.sd.cn)
《山东自考网》免责声明:
1、由于各方面情况的调整与变化,本网提供的考试信息仅供参考,考试信息以省考试院及院校官方发布的信息为准。
2、本站内容信息均来源网络收集整理,标注来源为其它媒体的稿件转载,免费转载出于非商业性学习目的,版权归原作者所有,如有内容与版权问题等请与本站联系,本站将第一时间尽快处理删除。联系邮箱:812379481@qq.com。
相关《2018年山东自考高等数学公式大全(2)》的文章





